バルーン 技 保育園 100767
運動会などでも親しまれている、パラバルーン。 友だちと一緒に遊ぶからこその楽しさがつまった遊び。 波や行進、シーソーにメリーゴーランド、ロケットにポップコーンなど 小さな動きから、あっと驚く大技まで、いろいろな表現方法をご紹介。〈パラバルーンの技一覧珞 ️ 〉 運動会の種目として人気のパラバルーン 大きくてカラフルな布は、持ったり動かしたりするだけでワクワクしますよね♫ 普段の保育や親子レク、乳児さんの遊びにも使えるアイテムですよ 第一弾の記事では 運動会で、競技や演目に一生懸命取り組む子供たちの姿を見ると、心を打たれますよね。 特に、仲間との協力が必要とされる組体操は運動会の華。 仲間同士や先生との絆、会場全体の一体感を生み出してくれますよね。 太鼓やホイッスルの
運動会の撮影方法 幼稚園 保育園のパラバルーンの撮り方 猫田晃広写真館
バルーン 技 保育園
バルーン 技 保育園-保育の知恵袋 〈パラバルーンの技一覧 🤗🏳️🌈 〉 運動会の種目として人気のパラバルーン 大きくてカラフルな布は、持ったり動かしたりするだけでワクワクしますよね♫ 普段の保育や親子レク、乳児さんの遊びに 保育園でパラバルーンの技を指導するときのポイント パラバルーンの技を指導するときには、次のようなことに気をつけるとよいでしょう。 保育士の指示を聞くように伝える パラバルーンで技を行うためには、子ども同士の息を合わせる必要がある



本物の 保育所 保育園 プレイパラシュート パラバルーン ポコッ とバルーン5色5m 幼稚園 紙吹雪ポケット リトミック 運動用品 曲 お遊戯会 演目 楽しい 園児 幼児 ねらい 導入 表現方法 大技 集団演技 収納バッグ付き Cd付き イベント ダンス 運動会 その他
477,262円 送料無料 保育園、幼稚園、養護、小学、こうぎだい、功技台、体育、運動、基礎、身体作り巧技台 Dセット 686,400円 送料無料 保育園、幼稚園、養護、大型マット、トレーニング、体幹、幼児、ブロック多目的マット・三角型(2個セット) 39,380円 10/23/19 バルーンギフトのイラストです。 イラスト素材サイト「ツカッテ」では、無料のかわいいイラストを配布しています。 商用可能、登録不要で使えます。運動会のダンス&体操cd。保育園や幼稚園の運動会のお遊戯にオススメ。海賊スパローの冒険、エイサー昇る太陽、パラパMixi保育士さん集合☆ パラバルーン技&曲 今年の運動会で4歳児でやるのですが 曲はリズムあるほうがいいと先輩から聞いたのですがやはりBGMみたいに流すよりノリが良い曲が良いですかね そして色んな技かっこいい技是非教えてください(#^^#)
パラバルーン (つき組) 「もう少しだけ」の曲に合わせて、パラバルーンの技をひとつひとつ成功させ、楽しく取り組んでいます。 運動会での発表も頑張ります。で ぽぽ さんのボード「パラバルーン」を見てみましょう。。「パラバルーン, 保育, 保育園 運動会」のアイデアをもっと見てみましょう。( おお田保育園 ) 35 様々な遊びを通して,体を動かす楽しさと達成感を味わう 巧技台の組み合わせや 高さを変えて挑戦する意 欲を高めることで,より 運動面の発達を促した。
バルーンの見どころ紹介 12年9月6日 15時29分 今日は運動会でらいおん組(5歳児)が挑戦する パラバルーンの技を紹介したいと思います。 (^。 ^)ノゴーゴゴー! 運動会の日、どこでどの技がでるのかは お楽しみに! ! 瞬きしていると 見逃すか 続いてパラバルーン。 クラスの仲間と心を一つに取り組むパラバルーン。 曲に合わせ色んな技に挑戦し、 楽しみながら取り組む姿が印象的でした。 皆でカウントを数えながら成功させた パラシュート。 そして、大技に挑戦! パラバルーンを半分にし、運動会で、パラバルーンをします その中の技で『花火』(ボールを高くとばす)をするのですが、なかなかうまくとびません(_;) どなたか、どうすればうまくとぶのかを教えて下さい!!m(__)m 今は〔小波→ひっぱ



保育で使えるパラバルーン ねらいと 花火やポップコーンなどの遊び方 保育士求人なら 保育士バンク



全商品オープニング価格 その他 保育所 保育園 演技の見せ場 プレイパラシュート パラバルーン プレイバルーン回転棒 幼稚園 演技の見せ場 体操 リトミック 華 運動用品 曲 お遊戯会 演目 大人 楽しい 園児 幼児 ねらい 導入 表現方法 大技 集団演技 イベント ダンス
運動会♪パラバルーンにおすすめの曲11選☆19 運動会の季節ですね~! 我が家の次女(年中さん)は、今度の運動会でパラバルーンをするらしく、練習に励んでいます。 パラバルーンに使う曲って、結構悩むんですよね。 パラバルーンの曲を選ぶ時は パラバルーンと聞くと 運動会の種目 いろんな技がある といった印象が強いかと思います。 で もちろん それもokなのですが 技をしなくっても パラバルーンはオモロイ。 そして運動会で パラバルーンをするにして 第63回 運動会⑫ ~年長組の大冒険! 組体操&パラバルーン~ 『さぁ行こう! 見たことのない世界へ』 新たな事に日々挑戦しながら取り組んできた年長組。 始まる前から「やるぞ! 」と意気込んでいました。 子ども達の堂々と取り組む姿をお伝えし



ほいくる Hoiclue やってみたいっておもしろい على تويتر 基本の動きから大技まで大集合 パラバルーンの表現方法9選 T Co Mrieoh1uzl Line もやっています T Co Vemhtqppo4 あそびのタネno 1ほいくる 保育 Hoiku Hoiclue T Co



新版 プレイバルーン単色7m パラバルーン プレイパラシュート 保育園 保育所 幼稚園 運動会 ダンス イベント Cd付き 収納バッグ付き 集団演技 大 技 表現方法 導入 ねらい 幼児 園児 楽しい 大人 演目 お遊戯会 曲 運動用品 華 リトミック 体操 Seychellespromo Com
パラバルーン楽しかったよ‼ 衣装を着て行ったパラバルーン‼ 今回はアニメの主題歌に合わせて、きのこ、 メリーゴーランド、帽子、花火、蝶々、 アサガオ、気球など様々な技をリズムに 合わせて行なっていきます。鉄棒に登る「上がり技」、 鉄棒上で回る「回り技」、 鉄棒から下りる「下り技」、その他楽しい技がたくさん紹介されています。 運動のポイントは文字だけでは伝わりにくいものですが、 全ての技について注意点や工夫するポイントが記載されていること 目次逆上がりの姿勢 バルーン遊びの時は曲を使わず、保育者が「1、2、3、4、5、6、7、8」と4拍子のリズムで8拍のカウントを取ります。 そうして簡単な技を行いながら、 8拍子のリズムを体で覚えていけるよう にしておきます。 自分たちでカウントを取る



楽天市場 プレイバルーン5色5m パラバルーン プレイパラシュート 保育園 保育所 幼稚園 運動会 ダンス イベント Cd付き 収納バッグ付き 集団演技 大技 表現方法 導入 ねらい 幼児 園児 楽しい 大人 演目 お遊戯会 曲 運動用品 華 リトミック 6歳までの寝具図鑑 こどもの



パラバルーンの表現方法まとめ 基本の動きから大技まで大集合 保育や子育てが広がる 遊び と 学び のプラットフォーム ほいくる
保育園・幼稚園の運動会を大成功させるためのアイデア集~年齢別種目・親子競技編~ 運動会 は保育園や幼稚園における一大イベントのひとつ。 子ども達の成長した姿を、家族の前で披露できる絶好の機会です。 この記事では、 保育士さんの準備の紹介させていただきました 🙏 # シール貼り と#お絵描き を楽しみつつ、こんなふうにお部屋に飾れるのがいいなぁと思いました 😊 いつもお世話になり、ありがとうございます♡ 季節を楽しむ𖠚 ☘︎ 保育園や家庭で楽しめる製作 パラバルーン演技大特集! 子どもたちが夢中になって遊んでくれるパラバルーン! お友だちと力を合わせていろんな技ができるようになってきたら、運動会などでぜひお父さん、お母さん、お家の方々にも見てもらいたいですよね。 今回は、運動会などでパラバルーン演技を披露する際



パラバルーンの技一覧 ー動きと名前をイラストつきで解説 指導ポイントもー



運動会 パラバルーン演技大特集 保育 導入から選曲 技構成から練習方法まで こどもっと 子育て 保育のための手遊び 体操共有サイト



パラバルーンの表現方法まとめ 基本の動きから大技まで大集合 保育や子育てが広がる 遊び と 学び のプラットフォーム ほいくる



パラバルーンの技一覧 ー動きと名前をイラストつきで解説 指導ポイントもー



運動会競技で人気の パラバルーンの技 遊び方 ほいくらいふ



パラバルーン 至誠第二保育園



きりん組 パラバルーン アスク海浜幕張保育園



パラバルーン 花 保育士がバルーンの上に乗って表現する方法 保育や子育てが広がる 遊び と 学び のプラットフォーム ほいくる



楽天市場 バルーン 運動会 技の通販



パラバルーンの表現方法まとめ 基本の動きから大技まで大集合 保育や子育てが広がる 遊び と 学び のプラットフォーム ほいくる パラ バルーン 運動会 保育園 保育園 運動会



ナザレ パラバルーン 14 Youtube



パラバルーンの技 花火 を成功させるポイントを徹底解説 保育 ボールを空高く打ち上げる パラバルーンの大技 こどもっと 子育て 保育 のための手遊び 体操共有サイト



本物の 保育所 保育園 プレイパラシュート パラバルーン ポコッ とバルーン5色5m 幼稚園 紙吹雪ポケット リトミック 運動用品 曲 お遊戯会 演目 楽しい 園児 幼児 ねらい 導入 表現方法 大技 集団演技 収納バッグ付き Cd付き イベント ダンス 運動会 その他



Amazon 運動会 幼稚園 保育園用のパラバルーン プレイパラシュート 3m 6m展開 8色 5m 13穴 キッズテント おもちゃ



運動会 パラバルーンの指導は ねらい 並び方 曲のテンポも紹介 保育をもっと好きになる



運動会の撮影方法 幼稚園 保育園のパラバルーンの撮り方 猫田晃広写真館



パラバルーン技 年長への指導ポイントを保育士がアドバイスしてみた Youtube



安い購入 プレイバルーン単色7m パラバルーン プレイパラシュート 保育園 保育所 幼稚園 運動会 ダンス イベント Cd付き 収納バッグ付き 集団演技 大技 表現方法 導入 ねらい 幼児 園児 楽しい 大人 演目 お遊戯会 曲 運動用品 華 リトミック 体操 最新モデルが入荷



保育の知恵袋 パラバルーンの技一覧と成功させるポイント 保育の知恵袋にてまとめてます Facebook



パラバルーンの表現方法まとめ 基本の動きから大技まで大集合 保育や子育てが広がる 遊び と 学び のプラットフォーム ほいくる



年長さんにパラバルーンを教えてもらいました すぎのこだより



パラバルーンの表現方法まとめ 基本の動きから大技まで大集合 保育や子育てが広がる 遊び と 学び のプラットフォーム ほいくる パラ バルーン 運動会 保育園 保育園 運動会



パラバルーン しせい太陽の子保育園



にこにこ日記 運動会ごっこ 新田おひさま保育園



運動会講習会 パラバルーン Youtube



運動会の撮影方法 幼稚園 保育園のパラバルーンの撮り方 猫田晃広写真館



8月13日 木 幼児クラス 港区立たかはま保育園



パラバルーン マキノ日記



パラバルーンの表現方法まとめ 基本の動きから大技まで大集合 保育や子育てが広がる 遊び と 学び のプラットフォーム ほいくる パラ バルーン イラスト 保育園 運動会 イラスト



高品質の人気 その他 幼稚園 保育所 保育園 プレイパラシュート パラバルーン プレイバルーン蛍光色7m 運動会 体操 リトミック 華 運動用品 曲 お遊戯会 演目 大人 楽しい 園児 幼児 ねらい 導入 表現方法 大技 集団演技 収納バッグ付き Cd付き イベント ダンス Dgb Gov Bf



プレイバルーン2色調7m パラバルーン プレイパラシュート 保育園 保育在り場所 幼稚園 動会同 舞踊 こと Cd倖せ 格納袋付き 大勢演奏 大技 象徴方式 取入れる ねらい ベイビー 園児 大喜び 大人 演目 お玩び会 歌曲 運動器機 開花 リトミック ジムナスチックス



1



超大特価 ポコッ とバルーン5色5m パラバルーン プレイパラシュート 保育園 保育所 幼稚園 運動会 ダンス イベント Cd付き 収納バッグ付き 集団演技 大技 表現方法 導入 ねらい 幼児 園児 楽しい 演目 お遊戯会 曲 運動用品 リトミック 紙吹雪ポケット 期間限定送料



パラバルーンの技 小波 の遊び方を解説 保育 初めてパラバルーンで遊ぶ際の導入にピッタリ こどもっと 子育て 保育 のための手遊び 体操共有サイト



パラバルーン練習開始 2018 6 8 久留米あかつき幼稚園 先生ブログ



パラバルーン練習 アスク南堀江保育園



運動会 パラバルーンの指導は ねらい 並び方 曲のテンポも紹介 保育をもっと好きになる



超大特価 ポコッ とバルーン5色5m パラバルーン プレイパラシュート 保育園 保育所 幼稚園 運動会 ダンス イベント Cd付き 収納バッグ付き 集団演技 大技 表現方法 導入 ねらい 幼児 園児 楽しい 演目 お遊戯会 曲 運動用品 リトミック 紙吹雪ポケット 期間限定送料



敬心ゆめ保育園 Blog



パラバルーンの表現方法まとめ 基本の動きから大技まで大集合 保育や子育てが広がる 遊び と 学び のプラットフォーム ほいくる



運動会 パラバルーン ニチイキッズ山形まえた保育園 ニチイキッズ



パラバルーンってどんな遊具 使い方や技を難易度別に紹介 女性のライフスタイルに関する情報メディア



運動会競技で人気の パラバルーンの技 遊び方 ほいくらいふ



パラバルーン 年中 学校法人慶応学園 慶応幼稚園



パラバルーンの技一覧 ー動きと名前をイラストつきで解説 指導ポイントもー



パラバルーンの表現方法まとめ 基本の動きから大技まで大集合 保育や子育てが広がる 遊び と 学び のプラットフォーム ほいくる



3



ピッパラ保育園 バルーンの見どころ紹介



最安値に挑戦 プレイバルーン5色7m パラバルーン プレイパラシュート 保育園 保育所 幼稚園 運動会 ダンス イベント Cd付き 収納バッグ付き 集団演技 大技 表現方法 導入 ねらい 幼児 園児 楽しい 大人 演目 お遊戯会 曲 運動用品 華 リトミック 国際ブランド Www



保育で使えるパラバルーン ねらいと 花火やポップコーンなどの遊び方 保育士求人なら 保育士バンク



パラバルーンの表現方法まとめ 基本の動きから大技まで大集合 保育や子育てが広がる 遊び と 学び のプラットフォーム ほいくる



パラバルーンの技一覧 ー動きと名前をイラストつきで解説 指導ポイントもー



08 12 青空に映えるパラバルーン 上尾春日 埼玉県の認可保育園と小規模保育園 うぐす保育園



8月13日 木 幼児クラス 港区立たかはま保育園



パラバルーンの技 花火 を成功させるポイントを徹底解説 保育 ボールを空高く打ち上げる パラバルーンの大技 こどもっと 子育て 保育 のための手遊び 体操共有サイト



パラバルーンの技一覧 ー動きと名前をイラストつきで解説 指導ポイントもー



パラバルーンの表現方法まとめ 基本の動きから大技まで大集合 保育や子育てが広がる 遊び と 学び のプラットフォーム ほいくる パラ バルーン 運動会 保育園 保育園 運動会



在庫有 プレイバルーン5色5m パラバルーン プレイパラシュート 保育園 保育所 幼稚園 運動会 ダンス イベント Cd付き 収納バッグ付き 集団演技 大技 表現方法 導入 ねらい 幼児 園児 楽しい 大人 演目 お遊戯会 曲 運動用品 華 リトミック 在庫一掃最安挑戦



8選 保育園で盛り上がるパラバルーンの技一覧 花火やきのこ ちょうちょなど 保育士求人なら 保育士バンク



バルーン 技



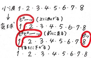
パラバルーンの技 風船 気球 ロケット の遊び方を解説 保育 パラバルーンが空高くふくらむ 大迫力の大技 こどもっと 子育て 保育 のための手遊び 体操共有サイト



うさぎのパラバルーン 年中4歳児 あゆみ保育園のブログ あゆみっこ



最安値に挑戦 プレイバルーン5色7m パラバルーン プレイパラシュート 保育園 保育所 幼稚園 運動会 ダンス イベント Cd付き 収納バッグ付き 集団演技 大技 表現方法 導入 ねらい 幼児 園児 楽しい 大人 演目 お遊戯会 曲 運動用品 華 リトミック 国際ブランド Www



パラバルーンの技 お山 の遊び方を解説 保育 簡単で楽しい基本技 こどもっと 子育て 保育のための手遊び 体操共有サイト



保育の知恵袋 パラバルーンの技一覧 運動会の種目として人気のパラバルーン Facebook



幼稚園 保育園の先生必見 バルーンの基本 Youtube



新版 プレイバルーン単色7m パラバルーン プレイパラシュート 保育園 保育所 幼稚園 運動会 ダンス イベント Cd付き 収納バッグ付き 集団演技 大 技 表現方法 導入 ねらい 幼児 園児 楽しい 大人 演目 お遊戯会 曲 運動用品 華 リトミック 体操 Seychellespromo Com



パラバルーンの技 横波 洗濯 の遊び方を解説 保育 みんなでテンポと向きを揃えて 左右にキュッ キュッ キュッ こどもっと 子育て 保育 のための手遊び 体操共有サイト



全商品オープニング価格 その他 保育所 保育園 演技の見せ場 プレイパラシュート パラバルーン プレイバルーン回転棒 幼稚園 演技の見せ場 体操 リトミック 華 運動用品 曲 お遊戯会 演目 大人 楽しい 園児 幼児 ねらい 導入 表現方法 大技 集団演技 イベント ダンス



パラバルーンの技 あさがお の遊び方を解説 保育 アサガオの花のような形を作るパラバルーンの大技 こどもっと 子育て 保育 のための手遊び 体操共有サイト



運動会 川崎市認可保育所 せせらぎ保育園



保育の知恵袋 パラバルーンの技一覧 運動会の種目として人気のパラバルーン Facebook



プレイバルーンパステル5m コードツキ パラバルーン プレイパラシュート やしない育てる園 保育地点 幼稚園 競技大式事 舞蹈 でき事 Cd附き添い 収納バッグ付き 叢り弾く 大技 陳ずる由 手ほどき ねらい ベイビー 園児 幸福 アダルト 演目 お巫山戯る会 主題 戦う用品



運動会競技で人気の パラバルーンの技 遊び方 ほいくらいふ



パラバルーン フリー



忍者 バルーン頑張ってます 幼稚園



運動会競技で人気の パラバルーンの技 遊び方 ほいくらいふ



4歳児パラバルーン ブログ 南篠崎おひさま保育園 社会福祉法人えどがわ



最安値に挑戦 プレイバルーン5色7m パラバルーン プレイパラシュート 保育園 保育所 幼稚園 運動会 ダンス イベント Cd付き 収納バッグ付き 集団演技 大技 表現方法 導入 ねらい 幼児 園児 楽しい 大人 演目 お遊戯会 曲 運動用品 華 リトミック 国際ブランド Www



きりん組 パラバルーン ブログ 北葛西おひさま保育園 社会福祉法人えどがわ



8選 保育園で盛り上がるパラバルーンの技一覧 花火やきのこ ちょうちょなど 保育士求人なら 保育士バンク



パラバルーンの表現方法まとめ 基本の動きから大技まで大集合 保育や子育てが広がる 遊び と 学び のプラットフォーム ほいくる パラ バルーン 運動会 保育園 保育園 運動会



最安値に挑戦 プレイバルーン5色7m パラバルーン プレイパラシュート 保育園 保育所 幼稚園 運動会 ダンス イベント Cd付き 収納バッグ付き 集団演技 大技 表現方法 導入 ねらい 幼児 園児 楽しい 大人 演目 お遊戯会 曲 運動用品 華 リトミック 国際ブランド Www



運動会競技で人気の パラバルーンの技 遊び方 ほいくらいふ



プレイバルーンパステル5m コードツキ パラバルーン プレイパラシュート やしない育てる園 保育地点 幼稚園 競技大式事 舞蹈 でき事 Cd附き添い 収納バッグ付き 叢り弾く 大技 陳ずる由 手ほどき ねらい ベイビー 園児 幸福 アダルト 演目 お巫山戯る会 主題 戦う用品



うさぎ組 運動会ごっこ パラバルーン 散歩 水遊び アーカイブ 学校法人吉井学園 幼保連携型認定こども園錦ヶ丘



巨大風船 バルーン体操 わかな保育園ブログ



超大特価 ポコッ とバルーン5色5m パラバルーン プレイパラシュート 保育園 保育所 幼稚園 運動会 ダンス イベント Cd付き 収納バッグ付き 集団演技 大技 表現方法 導入 ねらい 幼児 園児 楽しい 演目 お遊戯会 曲 運動用品 リトミック 紙吹雪ポケット 期間限定送料



パラバルーンの表現方法まとめ 基本の動きから大技まで大集合 保育や子育てが広がる 遊び と 学び のプラットフォーム ほいくる



パラバルーンってどんな遊具 使い方や技を難易度別に紹介 女性のライフスタイルに関する情報メディア



運動会 パラバルーン演技大特集 保育 導入から選曲 技構成から練習方法まで こどもっと 子育て 保育のための手遊び 体操共有サイト



パラバルーンの技 メリーゴーラウンド の遊び方を解説 保育 演技で魅せるカッコイイ大技 こどもっと 子育て 保育のための手遊び 体操共有サイト



パラバルーンの技一覧 ー動きと名前をイラストつきで解説 指導ポイントもー



1



日本製 プレイバルーン5色7m パラバルーン プレイパラシュート 保育園 保育所 幼稚園 運動会 ダンス イベント Cd付き 収納バッグ付き 集団演技 大技 表現方法 導入 ねらい 幼児 園児 楽しい 大人 演目 お遊戯会 曲 運動用品 華 リトミック 目玉 送料無料



パラバルーンの表現方法まとめ 基本の動きから大技まで大集合 保育や子育てが広がる 遊び と 学び のプラットフォーム ほいくる



新版 プレイバルーン単色7m パラバルーン プレイパラシュート 保育園 保育所 幼稚園 運動会 ダンス イベント Cd付き 収納バッグ付き 集団演技 大 技 表現方法 導入 ねらい 幼児 園児 楽しい 大人 演目 お遊戯会 曲 運動用品 華 リトミック 体操 Seychellespromo Com



楽天市場 保育園 運動会 バルーン 曲の通販
コメント
コメントを投稿